اسئلة واجوبة امتحان التمهيدي الرياضيات السادس الابتدائي 2025
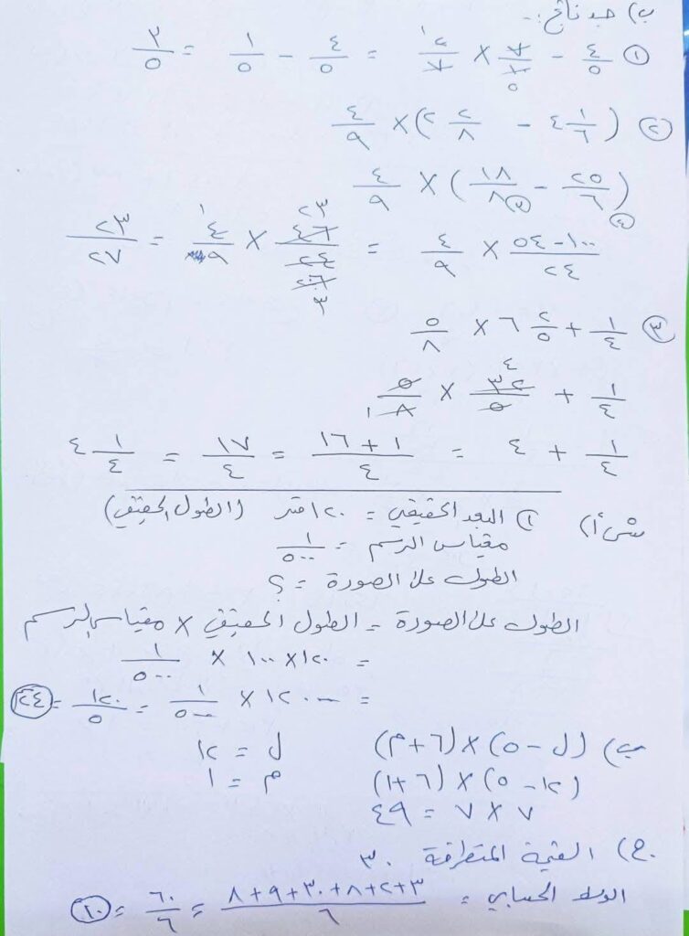
حصريا نرفق اليكم اسئلة امتحان مادة الرياضات للصف السادس الابتدائي للإمتحانات التمهيدية مع حلول واجوبة من قبل ست ساره العبيدي

حصريا نرفق اليكم اسئلة امتحان مادة الرياضات للصف السادس الابتدائي للإمتحانات التمهيدية مع حلول واجوبة من قبل ست ساره العبيدي
